基本信息:
中文名稱 (R)-1-芐基-3-氨基吡咯烷
中文別名 (R)-(-)-1-芐基-3-氨基吡咯烷;(R)-(-)-1-芐基-3-氨基吡咯烷;R-N-芐基-3-氨基吡咯烷;(3R)-(-)-1-芐基-3-氨基吡咯烷;(3R)-(-)-1-芐基-3-氨基吡咯烷;-1-芐基-3-氨基吡咯烷;(3R)-(-)-3-氨基-1-芐基吡咯烷;(R)-(-)-1-苯甲基-3-氨基吡咯烷;(3R)-(-)-1-芐基-3-氨基;R-1-N-芐基-3-氨基吡咯烷;
英文名稱 (R)-(-)-1-Benzyl-3-aminopyrrolidine
英文別名 (R)-(?)-1-Benzyl-3-aminopyrrolidine;(R)-1-Benzyl-3-aminopyrrolidine;(3R)-(-)-1-Benzyl-3-aminopyrrolidine;(3R)-1-benzylpyrrolidin-3-amine;(R)-(-)-1-Benzyl-3-Aminopyrrolidine;
CAS號(hào) 114715-39-8
合成路線:
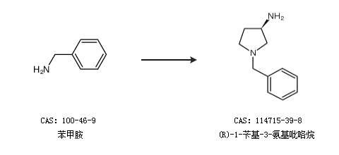
1.通過苯甲胺合成(R)-1-芐基-3-氨基吡咯烷

2.通過4-氨基-1-芐基吡咯烷-2-酮合成(R)-1-芐基-3-氨基吡咯烷

合成路線僅供參考