基本信息:
中文名稱 (1S)-(-)-莰烷酰氯
中文別名 (+)-(1R,4S)-莰烷酰氯;(-)-莰烷酰氯;(1S)-3-氧代-4,7,7-三甲基-2-氧雜雙環(huán)[2.2.1]庚烷-1-甲酰氯;(-)-(1S,4R)-坎烷酰氯;(-)-樟腦酸氯化物;(1S)-(-)-莰烷酸氯化物;
英文名稱 (-)-Camphanic acid chloride
英文別名 (-)-Camphanic Chloride;(1S)-(-)-Camphanic chloride;
CAS號 39637-74-6
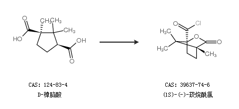
合成路線:
1.通過(1R)-(+)-莰烷酸合成(1S)-(-)-莰烷酰氯,收率約92%;

2.通過D-樟腦酸合成(1S)-(-)-莰烷酰氯

合成路線僅供參考