基本信息:
中文名稱 香柑醇
中文別名 佛手酚;(S)-2-氨基-2-(3,5-二氟吡啶-2-基)乙醇;5-羥基-6,7-呋喃并香豆素;
英文名稱 bergaptol
英文別名 4-hydroxyfuranocoumarin;Psoralin,5-hydroxy;4-Hydroxy-7H-furo[3,2-g]chromen-7-one;9-hydroxyfuranocoumarin;Bergaptol;xanthotoxol;5-Hydroxypsoralen;4-hydroxyfuro[3,2-g]chromen-7-one;5-Hydroxyfuranocoumarin;4-Hydroxy7H-furo[3,2-g][1]benzopyran-7-one,4-Hydroxybergapten,5-Hydroxy-6,7-furanocoumarin;
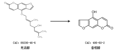
CAS號 486-60-2
合成路線:
1.通過佛手苷內酯合成香柑醇,收率約85%;

2.通過羌活醇合成香柑醇

中華試劑網提醒:合成路線僅供參考