基本信息:
中文名稱 5,7-二羥黃酮
中文別名 5,7-二羥基-2-苯基-4H-1-苯并吡喃-4-酮;白楊素;柯因;Chrysin;5,7-二羥基黃酮;柯菌;
英文名稱 chrysin
英文別名 5,7-Dihydroxyflavone;5,7-dihydroxy-2-phenylchromen-4-one;
CAS號(hào) 480-40-0
合成路線:
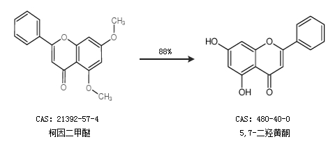
1.通過柯因二甲醚合成5,7-二羥黃酮,收率約88%;

2.通過2,4,6-三羥基苯乙酮一水合物和苯甲酰氯合成5,7-二羥黃酮,收率約54%;

中華試劑網(wǎng)提醒 合成路線僅供參考