基本信息:
中文名稱 三甘醇單甲醚
中文別名 甲基三甘醇;三乙二醇甲醚;2-[2-(2-甲氧基乙氧基)乙氧基]-乙醇;三乙二醇單甲醚;
英文名稱 triethylene glycol monomethyl ether
英文別名 2-(2-(2-Methoxyethoxy)ethoxy)ethanol;Triethylene Glycol MonoMethyl Ether;Methyltriglycol;TRIETHYLENE GLYCOL MONOMETHYL ETHER;Methyl Triglycol;2-[2-(2-methoxyethoxy)ethoxy]ethanol;
CAS號 112-35-6
合成路線:
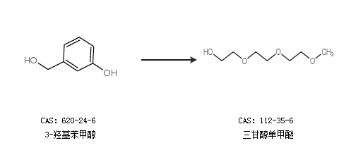
1.通過3-羥基苯甲醇合成三甘醇單甲醚

2.通過硫酸二甲酯和二縮三乙二醇合成三甘醇單甲醚,收率約59%;

中華試劑網提醒:合成路線僅供參考