基本信息:
中文名稱 二正辛胺
中文別名 N,N-二(甲基庚基)胺;二正辛基胺;二辛胺;二辛基胺;雙(α-辛基)胺;
英文名稱 Dioctylamine
英文別名 DNOA;Dioctylamin;n-octyl-1-octanamin;Di-n-octylamine;RC5632;n-octyl2-NH;DI-N-OCTYLAMINE;N,N-di-n-octylamine;
CAS號 1120-48-5
合成路線:
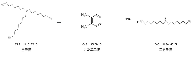
1.通過三辛胺和1,2-苯二胺合成二正辛胺,收率約73%;

2.通過辛胺和正辛醇合成二正辛胺,收率約20%;

合成路線僅供參考