基本信息:
中文名稱 3-氨基-3-環(huán)己基丙酸
英文名稱 3-AMINO-3-CYCLOHEXYLPROPIONIC ACID
英文別名 3-AMINO-3-CYCLOHEXYLPROPIONICACID;3-Amino-3-Cyclohexyl-Propanoic Acid;β-Aminocyclohexanepropanoic Acid;3-Amino-3-cyclohexylpropionic acid;3-amino-3-cyclohexylpropanoic acid;CYC131;3-Amino-3-cyclohexyl-propionic acid;3-Amino-3-cyclohexyl-propionsaeure;3-Amino-3-cyclohexylpropanoic acid;BENZOINOXIME;Cyclobutanebutanamide,|A-amino-|A-hydroxy;3-amino-3-cyclobutylmethyl-2-hydroxypropionamide;3-amino-3-cyclohexyl-propionic acid;Beta-Aminocyclohexanepropanoic Acid;
CAS號(hào) 129042-71-3
合成路線:
1.通過(guò)丙二酸和環(huán)己烷基甲醛合成3-氨基-3-環(huán)己基丙酸

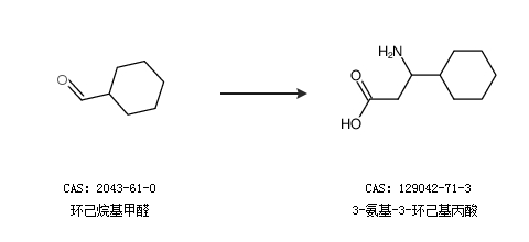
2.通過(guò)環(huán)己烷基甲醛合成3-氨基-3-環(huán)己基丙酸

中華試劑網(wǎng)提醒:合成路線僅供參考