基本信息:
中文名稱 N-乙酰神經(jīng)氨酸
中文別名 N-乙酰神經(jīng)氨糖酸;燕窩酸;醋紐拉酸;N-乙酰-D-神經(jīng)氨酸;乙?;窠?jīng)氨酸;唾液酸;N-乙酰-神經(jīng)氨酸;N-乙酰甘露糖胺丙酮酸;
英文名稱 N-acetylneuraminic acid
英文別名 NANA H2O;Aceneuramic acid;5-Acetamido-3,5-dideoxy-D-glycero-D-galactononulosonic acid,Lactaminic acid,NAN;N-Acetylneuraminic acid;N-acetyl-D-neuraminic acid;NANA;5-Acetamido-3,5-dideoxy-D-glycero-D-galactononulosonic acid;SIALIC ACID;NANA TYPE IV-S;LACTAMINIC ACID;NAN;NANA TYPE VI;Sialomucin;NEU5AC;Sialic acid;sialic acid powder;N-Acetylneuraminic Acid;Lactaminic acid;
CAS號(hào) 131-48-6
合成路線:
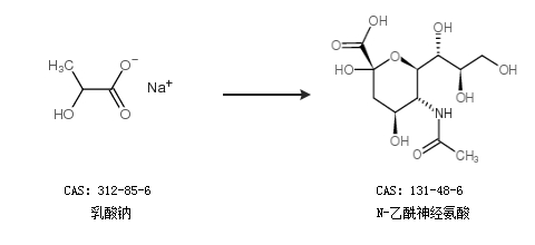
1.通過(guò)乳酸鈉合成N-乙酰神經(jīng)氨酸

2.通過(guò)D-(+)-葡萄糖和N-乙酰-D-氨基葡萄糖合成N-乙酰神經(jīng)氨酸

中華試劑網(wǎng)提醒:合成路線僅供參考