基本信息:
中文名稱 二氫-2-甲基-3(2H)-噻吩酮
中文別名 2-甲基-3-四氫噻吩酮;2-甲基四氫噻吩-3-酮;
英文名稱 Dihydro-2-methyl-3(2H)-thiophenone
英文別名 2-methyl-dihydro-thiophen-3-one;2-Methyl-3-oxotetrahydrothiophene;Thiolan-3-one,2-methyl;2-Methyl-3-thiolanone;2-Methyl-3-tetrahydrothiophenone;FEMA 3512;2-Mehyl tetrahydrothiophen-3-one;2-methytetrahydrothiophen-3-one;2-methyl-3-oxo tetrahydrothiophene;Thiolan-3-thiol,2-methyl;2-Methyltetrahydrothiophen-3-one;2-METHYL-3-TETRAHYDROTHIOPHENONE;2-methyltetrahydrothiophen-3-one;2-Methyldihydrothiophen-3(2H)-one;2-Methylthiolan-3-one;2-Methyl-dihydro-thiophen-3-on;
CAS號 13679-85-1
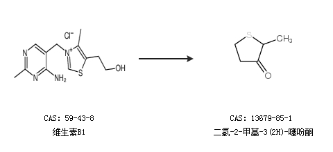
合成路線:
1.通過D-(+)-木糖和維生素B1合成二氫-2-甲基-3(2H)-噻吩酮

2.通過維生素B1合成二氫-2-甲基-3(2H)-噻吩酮

合成路線僅供參考