基本信息:
中文名稱 Boc-L-谷氨酰胺
中文別名 Nα-(叔丁氧羰基)-L-谷氨酸;N-BOC-L-谷氨酰胺;Nα-Boc-L-谷氨酸;BOC-L-谷氨酰胺;BOC-L-谷氨酰胺/叔丁氧羰基-L-谷氨酰胺;
英文名稱 N-(tert-Butoxycarbonyl)-L-glutamine
英文別名 Nα-(tert-Butoxycarbonyl)-L-glutamine;N-T-BOC-L-GLUTAMINE;BOC-GLN;L-GLUTAMINE-N-T-BOC;TBOC-L-GLUTAMINE;N-Boc-glutamine;BOC-L-GLUTAMINE;(S)-5-Amino-2-((tert-butoxycarbonyl)amino)-5-oxopentanoic acid;N-Boc-L-glutamine;Nα-Boc-L-glutamine;Boc-Gln-OH;tert-butyloxycarbonyl-L-glutamine;BOC-L-GLN;BOC-L-GLN-OH;BOC-GLUTAMINE;
CAS號 13726-85-7
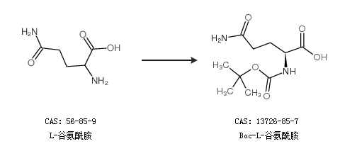
合成路線:
1.通過L-谷氨酰胺合成Boc-L-谷氨酰胺,收率約92%;

2.通過L-谷氨酰胺合成Boc-L-谷氨酰胺

合成路線僅供參考