基本信息:
中文名稱 L-環(huán)己基甘氨酸
中文別名 L-(+)-2-環(huán)己基甘氨酸;L-(+)-2-環(huán)己基甘氨酸;L-ALPHA-環(huán)己基甘氨酸;L-2-環(huán)己基甘氨酸;(S)-2-環(huán)己基甘氨酸;(S)-α-氨基環(huán)己基醋酸;L-環(huán)已基甘氨酸;
英文名稱 L-(+)-2-Cyclohexylglycine
英文別名 (2S)-2-amino-2-cyclohexylacetic acid;(S)-α-Aminocyclohexylacetic Acid;L-2-Cyclohexylglycine;L-alpha-Cyclohexylglycine;L-(+)-Cyclohexylglycine;L-Cyclohexylglycine;(S)-2-Amino-2-cyclohexylacetic acid;
CAS號(hào) 14328-51-9
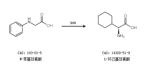
合成路線:
1.通過L-苯甘氨酸合成L-環(huán)己基甘氨酸,收率約99%;

2.通過N-苯基甘氨酸合成L-環(huán)己基甘氨酸,收率約94%;

中華試劑網(wǎng)提醒 合成路線僅供參考