基本信息:
中文名稱 4-乙烯基苯硼酸
中文別名 對乙烯基苯硼酸;4-苯乙烯硼酸;4-乙烯基苯基硼酸;4-乙烯苯硼酸;
英文名稱 (4-ethenylphenyl)boronic acid
英文別名 4-vinylboronic acid;para-vinylphenylboronic acid;4-Vinylphenylboronic Acid;4-Vinylbenzeneboronic Acid;p-vinylphenylboronic acid;p-Styrylboronic Acid;4-BORONOSTYRENE;1,4-vinylphenylboronic acid;
CAS號 2156-04-9
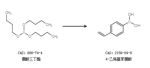
合成路線:
1.通過4-氯苯乙烯合成4-乙烯基苯硼酸,收率約97%;

2.通過硼酸三丁酯合成4-乙烯基苯硼酸

合成路線僅供參考