基本信息:
中文名稱 Boc-L-beta-高異亮氨酸
中文別名 BOC-L-Β-高異亮氨酸;N-叔丁氧羰基-L-BETA-高異亮氨酸;N-叔丁氧羰基-L-beta-高異亮氨酸;Boc-β-Homoile-OH;
英文名稱 Boc-L-β-homoisoleucine
英文別名 Boc-L-beta-homoisoleucine;Boc--HoIle-OH;Boc-Beta-homo-Ile-OH;Boc-Beta-HoIle-OH;BOC-B-HOMO-ILE-OH;Boc-beta-Hoile-OH;Boc-b-HoIle-OH;Boc-β-Homoile-OH;
CAS號 218608-82-3
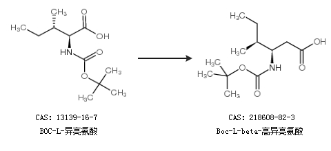
合成路線:
1.通過BOC-L-異亮氨酸合成Boc-L-beta-高異亮氨酸

合成路線僅供參考