基本信息:
中文名稱 (1R,2S)-(-)-2-氨基-1,2-二苯基乙醇
中文別名 (1R,2S)-(-)-2-氨基-1,2-二苯乙醇;(1R,2S)-2-氨基-1,2-二苯基乙醇;
英文名稱 (1R,2S)-(-)-2-AMINO-1,2-DIPHENYLETHANOL
英文別名 2-diphenylethanol;(1R,2S)-2-Amino-1,2-diphenylethanol;(1R,2S)-(-)-2-Amino-1,2-diphenylethanol;
CAS號 23190-16-1
合成路線:
1.通過ALPHA-安息香肟合成(1R,2S)-(-)-2-氨基-1,2-二苯基乙醇

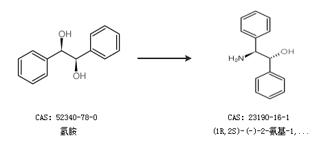
2.通過氫胺合成(1R,2S)-(-)-2-氨基-1,2-二苯基乙醇

合成路線僅供參考