基本信息:
中文名稱 Nε-Boc-L-賴氨酸
中文別名 N(e)-Boc-L-賴氨酸;N-epsilon-叔丁氧羰基-L-賴氨酸;Nε-(叔丁氧羰基)-L-賴氨酸;N-Boc-L-賴氨酸;
英文名稱 Ne-Boc-L-lysine
英文別名 LYSINE(BOC)-OH;L-LYS(BOC);H-Lys(Boc)-OH;LYS(BOC);Ne-Boc-L-Lysine;NEPSILON-BOC-L-LYSINE;N6-Boc-L-lysine;L-LYSINE(BOC);H-L-LYS(BOC)-OH;e-BOC-L-lysine.;(S)-2-Amino-6-((tert-butoxycarbonyl)amino)hexanoic acid;Fmoc-Lys(Boc)-OH;Nε-Boc-L-lysine;Nε-(tert-Butoxycarbonyl)-L-lysine;
CAS號(hào) 2418-95-3
合成路線:
1.通過(guò)Nε-Boc-Nα-Cbz-L-賴氨酸合成Nε-Boc-L-賴氨酸,收率約97%;

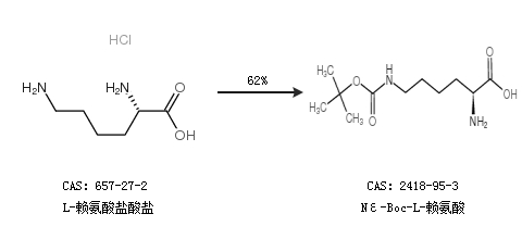
2.通過(guò)L-賴氨酸鹽酸鹽合成Nε-Boc-L-賴氨酸,收率約62%;

合成路線僅供參考