基本信息:
中文名稱 Boc-L-蛋氨酸
中文別名 N-(叔丁氧羰基)-L-蛋氨酸;叔丁氧羰基-L-蛋氨酸;BOC-L-蛋氨基-DCHA;N-叔丁氧羰基-L-甲硫氨酸;
英文名稱 (2S)-2-[(2-methylpropan-2-yl)oxycarbonylamino]-4-methylsulfanylbutanoic acid
英文別名 N-(tert-Butoxycarbonyl)-L-methionine;N-tert-butoxycarbonyl-L-methionine;BOC-L-Methionine;N-t-butyloxycarbonyl-L-methionine;Boc-L-methionine;N-Boc-L-methionine;Boc-Met-O;Boc-Met-OH;
CAS號 2488-15-5
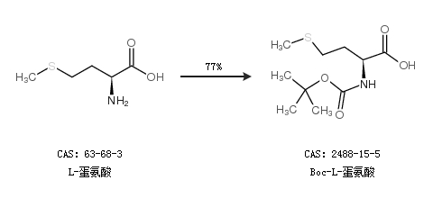
合成路線:
1.通過L-蛋氨酸合成Boc-L-蛋氨酸,收率約95%;

2.通過L-蛋氨酸合成Boc-L-蛋氨酸,收率約77%;

合成路線僅供參考