基本信息:
中文名稱 2,3-二氯噻吩-5-磺酰胺
中文別名 2,4-二氯噻吩-5-磺胺;2,3-二氯噻吩-5-磺胺;4,5-二氯-2-噻吩磺酰胺;
英文名稱 4,5-dichlorothiophene-2-sulfonamide
英文別名 2,3-Dichlorothiophene-5-sulfonamide;4,5-dichloro-thiophene-2-sulfonic acid amide;2,3-Dichloro thiophene-5-sulfonamide;4,5-dichloro-2-thiophenesulfonamide;2,3-Dichlorthiophen-5-sulfamid;4,5-Dichlor-thiophen-2-sulfonsaeure-amid;2,3,5-TRI-O-BENZYL-BETA-L-ARABINOFURANOSE;
CAS號(hào) 256353-34-1
合成路線:
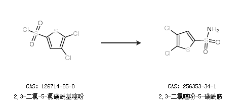
1.通過(guò)2,3-二氯-5-氯磺酰基噻吩合成2,3-二氯噻吩-5-磺酰胺

中華試劑網(wǎng)提醒:合成路線僅供參考