基本信息:
中文名稱 2-噻吩甲酰三氟丙酮
中文別名 1-(2-噻吩甲酰)-3,3,3-三氟丙酮;噻吩甲酰三氟丙酮;4,4,4-三氟-1-(2-噻吩基)-1,3-丁二酮;4,4,4-三氟-1-(2-噻吩基)-1,3-丁二酮;2-噻酚甲酰三氟丙酮;
英文名稱 Thenoyltrifluoroacetone
英文別名 2-TENOYL-TRIFLUOROACETONE;Thenoyltrifluoroacet;4,4,4-Trifluoro-1-(2-thienyl)-1,3-butanedione,TTA,extractant);2-THENOYLTRIFLUOROACETONE;2-thenoyltriflouroacetone;TTFA;Theonyltrifluoroacetone;4,4,4-Trifluoro-1-(2-thienyl)-1,3-butanedione;
CAS號(hào) 326-91-0
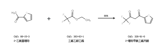
合成路線:
1.通過2-乙酰基噻吩和三氟乙酸乙酯合成2-噻吩甲酰三氟丙酮,收率約88%;

合成路線僅供參考