基本信息:
中文名稱 Boc-beta-丙氨酸
中文別名 叔丁氧羰基-β-丙氨酸;Boc-β-丙氨酸;N-叔丁氧羰基-beta-丙氨酸;Boc-β-Ala-OH;N-Boc-β-丙氨酸;N-(叔丁氧羰基)-β-丙氨酸;Boc-b-丙氨酸;
英文名稱 3-[(2-methylpropan-2-yl)oxycarbonylamino]propanoic acid
英文別名 Boc-B-Ala-OH;Boc-β-Alanine;Boc-β-Ala-OH;N-Boc-β-alanine;3-tert-Butoxycarbonylaminopropionic acid;3-[[(1,1-Dimethylethoxy)carbonyl]amino]-propanoic acid;Boc-Beta-Ala-OH;Boc-b-Ala-OH;Boc-beta-alanine;BOC-beta-alanine;N-BOC-Beta-Alanine;3-(tert-Butoxycarbonylamino)-propanoic acid;Boc-b-alanine;3-((tert-Butoxycarbonyl)amino)propanoic acid;Boc-beta-Ala-OH;Boc-b-Alanine;N-(tert-Butoxycarbonyl)-β-alanine;
CAS號 3303-84-2
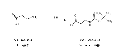
合成路線:
1.通過β-丙氨酸合成Boc-beta-丙氨酸,收率約99%;

2.通過N-(3-羥丙基)氨基甲酸叔丁酯合成Boc-beta-丙氨酸,收率約49%;

合成路線僅供參考