基本信息:
中文名稱 (1R,2R)-(+)-1,2-二苯基乙二胺
中文別名 (1R,2R)-(+)-1,2-二氨基-1,2-二苯乙烷;(1R,2R)-(+)-1,2-二氨基-1,2-二苯基乙烷;(1R,2R)-1,2-二苯基乙二胺;(1R,2R)-(+)-1,2-二苯基-1,2-乙二胺;
英文名稱 (1R,2R)-1,2-diphenylethane-1,2-diamine
英文別名 (1R,2R)-(+)-1,2-Diphenyl-1,2-Ethanediamine ee;(1R,2R)-(+)-1,2-Diphenyl-1,2-ethanediamine;(1R,2R)-1,2-Diphenyl-1,2-ethanediamine;(1R,2R)-1,2-Diphenylethane-1,2-diamine;(1R,2R)-(+)-1,2-Diamino-1,2-diphenylethane;(1R,2R)-(+)-1,2-Diphenylethylenediamine;
CAS號 35132-20-8
合成路線:
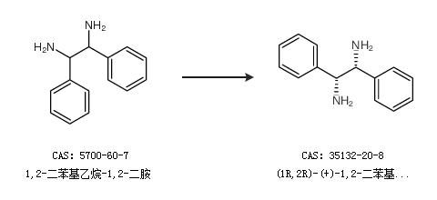
1.通過1,2-二苯基乙烷-1,2-二胺合成(1R,2R)-(+)-1,2-二苯基乙二胺

2.通過1,2-二苯基乙烷-1,2-二胺合成(1R,2R)-(+)-1,2-二苯基乙二胺

中華試劑網(wǎng)提醒:合成路線僅供參考