基本信息:
中文名稱 隱丹參酮
中文別名 隱丹參醌;
英文名稱 Cryptotanshinone
英文別名 Cryptotanshine;TANSHINONE,CRYPTO;(R)-(?)-1,6,6-Trimethyl-1,2,6,7,8,9-hexahydrophenanthro[1,2-b]furan-10,11-dione;(R)-1,2,6,7,8,9-Hexahydro-1,6,6-trimethyl-phenanthro(1,2-b)furan-10,11-dione;
CAS號 35825-57-1
合成路線:
1.通過5-溴-2-甲基-2-戊烯合成隱丹參酮

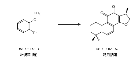
2.通過2-溴苯甲醚合成隱丹參酮

合成路線僅供參考