基本信息:
中文名稱 4-雄烯-11β-醇-3,17-二酮
中文別名 11β-羥基雄甾-4-烯-3,17-二酮;4-Androsten-11β-ol-3,17-dione;11BETA-羥基-4-雄甾烯-3,17-二酮;11β-Hydroxy-4-androstene-3,17-dione;
英文名稱 11β-hydroxyandrost-4-ene-3,17-dione
英文別名 (8S,9S,10R,11S,13S,14S)-11-hydroxy-10,13-dimethyl-2,6,7,8,9,11,12,14,15,16-decahydro-1H-cyclopenta[a]phenanthrene-3,17-dione;11beta-Hydroxyandrost-4-ene-3,17-dione;U 2826;4-Androsten-11beta-ol-3,17-dione;11beta-hydroxyandrost-4-ene-3,17-dione;Androst-4-ene-3,17-dione-11beta-ol;11b-Hydroxyandrost-4-ene-3,17-dione;11beta-Hydroxyandrostenedione;
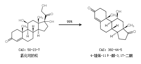
CAS號 382-44-5
合成路線:
1.通過氫化可的松合成4-雄烯-11β-醇-3,17-二酮,收率約99%;

2.通過硫代乙醇酸合成4-雄烯-11β-醇-3,17-二酮,收率約84%;

合成路線僅供參考