基本信息:
中文名稱 (R)-(+)-1-(2-萘基)乙胺
中文別名 (R)-1-(2-萘基)乙胺;(R)-(+)-α-甲基-2-萘甲胺;(R)-(+)-1-(2-萘)乙胺;
英文名稱 (R)-(+)-1-(2-Naphthyl)ethylamine
英文別名 (R)-1-(2-Naphthyl)ethylaMine;(R)-2-(1-Aminoethyl)naphthalene;(1R)-1-naphthalen-2-ylethanamine;(R)-1-(Naphthalen-2-yl)ethanamine;
CAS號(hào) 3906-16-9
合成路線:
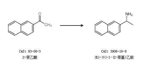
1.通過(guò)2-萘乙酮合成(R)-(+)-1-(2-萘基)乙胺

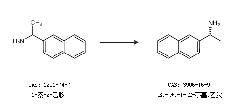
2.通過(guò)1-萘-2-乙胺合成(R)-(+)-1-(2-萘基)乙胺

中華試劑網(wǎng)提醒:合成路線僅供參考