基本信息:
中文名稱 4,4''-二溴二苯甲酮
中文別名 4,4’-二溴苯甲酮;4,4''-二溴苯甲酮;4.4''-二溴二苯甲酮;
英文名稱 4,4''-Dibromobenzophenone
英文別名 4,4′-Dibromobenzophenone;bis(4-bromophenyl)methanone;
CAS號 3988-03-2
合成路線:
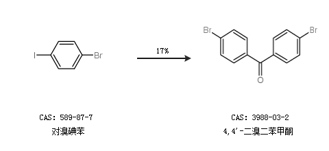
1.通過對溴碘苯合成4,4''-二溴二苯甲酮,收率約17%;

2.通過對溴碘苯合成4,4''-二溴二苯甲酮,收率約17%;

中華試劑網(wǎng)提醒 合成路線僅供參考