基本信息:
中文名稱 三(2-氨基乙基)胺
中文別名 N,N-二(2-氨乙基)-1,2-乙二胺;三(2-氨乙基)胺;
英文名稱 tris(2-aminoethyl)amine
英文別名 2,2'',2''''-Nitrilotriethylamine;Tris(2-Aminoethyl)Amine;2,2'',2''''-Triaminotriethylamine;Tris(2-aMinoethyl)aMine;TRIS(2-AMINOETHYL)AMINE;
CAS號 4097-89-6
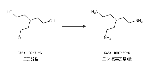
合成路線:
1.通過1,2-二氯乙烷合成三(2-氨基乙基)胺

2.通過三乙醇胺合成三(2-氨基乙基)胺

合成路線僅供參考