基本信息:
中文名稱 BOC-L-4-氟苯丙氨酸
中文別名 N-(叔丁氧羰基)-4-氟-L-苯丙氨酸;N-叔丁氧羰基-L-4-氟苯丙氨酸;
英文名稱 Boc-4-Fluoro-L-Phe-OH
英文別名 (2S)-3-(4-fluorophenyl)-2-[(2-methylpropan-2-yl)oxycarbonylamino]propanoic acid;N-(tert-Butoxycarbonyl)-4-fluoro-L-phenylalanine;Boc-Phe(4-F)-OH;N-Boc-4-fluoro-L-phenylalanine;Boc-4-Fluoro-Phe-OH;
CAS號 41153-30-4
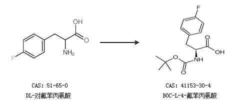
合成路線:
1.通過DL-對氟苯丙氨酸合成BOC-L-4-氟苯丙氨酸

2.通過L-4-氟苯丙氨酸合成BOC-L-4-氟苯丙氨酸

中華試劑網(wǎng)提醒:合成路線僅供參考