基本信息:
中文名稱 2,5-噻吩二羧酸
中文別名 2,5-噻吩二甲酸;噻吩-2,5-二羧酸;2,5-噻吩二甲酸;OB 酸;噻酚-2,5-二甲酸;
英文名稱 2,5-Thiophenedicarboxylic acid
英文別名 2,5-THIOPHENEDICARBOXYLIC;2,5-DICARBOXYTHIOPHENE;2,5-Thiophene dicarboxylic acid;RARECHEM AL BE 0623;Thiophene-2,5-Dicarboxyl Acid;Thiophene-2,5-dicarboxylic acid;2,5-Thiophenedicarboxylic Acid;2,5-Thiophenedicarbo;Thiophene-,''-dicarboxylic acid;thiophene-2,5-dicarboxylic acid;5-carboxythiophene-2-carboxylic acid;
CAS號(hào) 4282-31-9
合成路線:
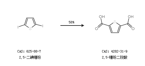
1.通過2,5-二碘噻吩合成2,5-噻吩二羧酸,收率約58%;

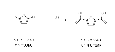
2.通過2,5-二溴噻吩合成2,5-噻吩二羧酸,收率約17%;

中華試劑網(wǎng)提醒 合成路線僅供參考