基本信息:
中文名稱 N,N,N'',N''-四甲基-2-丁烯-1,4-二胺
中文別名 N,N,N'',N''-四甲基-1,4-二氨基-2-丁烯;N,N,N,N-四甲基-2-丁烯-1,4-二胺;
英文名稱 N,N,N,N-Tetramethyl-1,4-Diamino-2-Butene
英文別名 N,N,N'',N''-Tetramethyl-1,4-diamino-2-butene;N,N,N'',N''-TetraMethyl-2-butene-1,4-diaMine;N,N,N'',N''-TETRAMETHYL-2-BUTENE-1,4-DIAMINE;
CAS號 4559-79-9
合成路線:
1.通過1,4-二溴-2-丁烯和二甲胺合成N,N,N'',N''-四甲基-2-丁烯-1,4-二胺

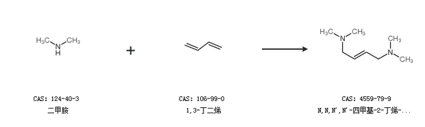
2.通過二甲胺和1,3-丁二烯合成N,N,N'',N''-四甲基-2-丁烯-1,4-二胺

中華試劑網(wǎng)提醒:合成路線僅供參考