基本信息:
中文名稱 糖氨基嘌呤
中文別名 激動素;N6-呋喃甲基腺嘌呤;6-糠氨基嘌呤;
英文名稱 kinetin
英文別名 6-Furfurylaminopurine,N6-Furfuryladenine;N6-Furfuryladenine;KINETINE;N-(Furan-2-ylmethyl)-9H-purin-6-amine;Kinetina;N-furfuryl-7H-purin-6-amine;Kinetin;6-Furfurylaminopurine;N-(furan-2-ylmethyl)-1H-purin-6-amine;N-(furan-2-ylmethyl)-7H-purin-6-amine;Kiniten;N-(2-furanylmethyl)-1H-purin-6-amine;6-furfurylaminopurine;N-furfuryladenine;fap;QUINETINE;cytokinin;
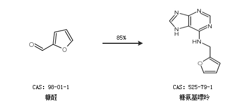
CAS號 525-79-1
合成路線:
1.通過糠醛合成糖氨基嘌呤,收率約85%;

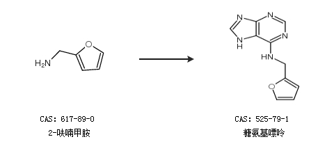
2.通過2-呋喃甲胺合成糖氨基嘌呤

合成路線僅供參考