基本信息:
中文名稱(chēng) 2,3,4,5-四氟苯甲醇
中文別名 2,3,4,4-四氟芐醇;2,3,4,5-四氟芐醇;
英文名稱(chēng) 2,3,4,5-Tetrafluorobenzyl alcohol
英文別名 (2,3,4,5-Tetrafluorophenyl)methanol;(2,3,4,5-tetrafluorophenyl)methanol;2,3,4,5-Tetrafluorobenzyl Alcohol;
CAS號(hào) 53072-18-7
合成路線:
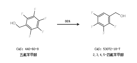
1.通過(guò)五氟苯甲醇合成2,3,4,5-四氟苯甲醇,收率約86%;

2.通過(guò)甲醇和五氟苯合成2,3,4,5-四氟苯甲醇,收率約8%;

合成路線僅供參考