基本信息:
中文名稱 鄰氨基苯乙酮
中文別名 2-乙酰苯胺;鄰胺苯乙酮;2''-氨基苯乙酮;2-乙;桨;2-氨基苯乙酮;O-氨基苯乙酮;
英文名稱 2-Aminoacetophenone
英文別名 2-Acetylaniline;o-Aminoacetylbenzene;2-amino acetophenone;o-acetylaniline;ortho-aminoacetophenone;FEMA 3906;1-(2-Aminophenyl)ethanone;O-AMINOACETOPHENONE;2''-AminoActophenone;
CAS號 551-93-9
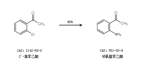
合成路線:
1.通過鄰硝基苯乙酮合成鄰氨基苯乙酮,收率約95%;

2.通過2''-溴苯乙酮合成鄰氨基苯乙酮,收率約90%;

中華試劑網(wǎng)提醒:合成路線僅供參考