基本信息:
中文名稱 3,5-二甲基吡啶
中文別名 3,5-二甲基氮雜苯;3,5-二甲基氮雜苯,3,5-盧剔啶;3,5-盧剔啶;
英文名稱 3,5-dimethylpyridine
英文別名 Pyridine,3,5-dimethyl;3,5-dimethyl-pyridine;1,3-lutidine;3,5-lutidene;3,5-Lutidine;
CAS號(hào) 591-22-0
合成路線:
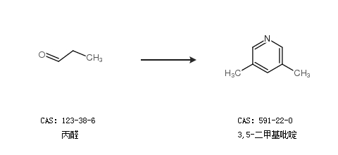
1.通過(guò)丙醛合成3,5-二甲基吡啶

2.通過(guò)哌啶和丙醛合成3,5-二甲基吡啶

中華試劑網(wǎng)提醒:合成路線僅供參考