基本信息:
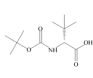
中文名稱 N-Boc-L-叔亮氨酸
中文別名 N-(叔丁氧羰基)-L-叔亮氨酸;BOC-L-叔亮氨酸;(S)-2-(Boc-氨基)-3,3-二甲基丁酸;Boc-L-叔亮氨酸;(S)-2-(叔丁氧羰基氨基)-3,3-二甲基丁酸;
英文名稱 N-Boc-L-tert-Leucine
英文別名 N-[(1,1-Dimethylethoxy)carbonyl]-3-methyl-L-valine;BOC-TLE;tert-butyl N-[(1S)-2,2-dimethyl-1-carboxypropyl]carbamate;BOC-L-T-LEUCINE;BOC-TLE-OH;BOC-TBU-GLY-OH;BOC-TBU-GLYCINE;N-(tert-butoxycarbonyl)-3-methyl-L-valine;(2S)-2-tert-butoxycarbonylamino-3,3-dimethylbutanoic acid;N-BOC-(L)-T-LEUCINE;BOC-L-TERT-LEUCINE;Boc-tert-butyl-glycine;(S)-N-Boc-tert-leucine;RARECHEM EM WB 0082;BOC-L-TLE-OH;N-tert-Butoxyc;Boc-tert-buytl-glycine;
CAS號(hào) 62965-35-9
合成路線:
1.通過(guò)L-叔亮氨酸合成N-Boc-L-叔亮氨酸,收率約99%;

2.通過(guò)L-叔亮氨酸和二碳酸二叔丁酯合成N-Boc-L-叔亮氨酸,收率約99%;

合成路線僅供參考