基本信息:
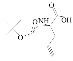
中文名稱 Boc-D-炔丙基甘氨酸
中文別名 BOC-D-炔丙基甘氨酸.二環(huán)己胺;N-叔丁氧羰基-D-炔丙基甘氨酸;BOC-D-炔丙基甘氨酸;叔丁氧羰基-D-炔丙基甘氨酸;
英文名稱 (R)-N-BOC-Propargylglycine
英文別名 Boc-D-Propargylglycine.DCHA;N-Boc-propargylglycine;BOC-2-PROPARGYL-D-GLYCINOL;RARECHEM BK PT 0259;Boc-L-propargylglycine;N-Boc-2-propargyl glycine;N-BOC-2-PROPARGYL-D-GLYCINE;Boc-D-propraglycine;BOC-D-PROPARGYLGLYCINE;
CAS號(hào) 63039-46-3
合成路線:
1.通過(guò)(2S)-2-氨基-4-戊炔酸合成Boc-D-炔丙基甘氨酸

2.通過(guò)氨基甲酸叔丁酯合成Boc-D-炔丙基甘氨酸

合成路線僅供參考