基本信息:
中文名稱 香葉基丙酮
中文別名 6,10-二甲基-5,9-十一雙烯-2-酮;6,10-二甲基-5,9-十一碳二烯-2-酮;6,10-二甲基-5,9-十一烯-2-酮;
英文名稱 Geranylacetone
英文別名 6,10-Dimethyl-5,9-undecadien-2-one;
CAS號(hào) 689-67-8
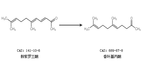
合成路線:
1.通過(guò)芳樟醇和2-甲氧基丙烯合成香葉基丙酮,收率約95%;

2.通過(guò)假紫羅蘭酮合成香葉基丙酮

中華試劑網(wǎng)提醒:合成路線僅供參考