基本信息:
中文名稱 DL-谷氨酰胺
英文名稱 DL-Glutamine
英文別名 H-D-Gln-OH;D-Glutamic acid 5-amide;2-amino-4-carbamoylbutanoic acid;L(+)-Glutamine;D-glutamine;D-2-Aminoglutaramic acid;
CAS號 6899-04-3
合成路線:
1.通過6-氧-1,4,5,6-四氫吡噠嗪-3-羧酸合成DL-谷氨酰胺

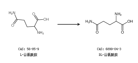
2.通過L-谷氨酰胺合成DL-谷氨酰胺

中華試劑網(wǎng)提醒:合成路線僅供參考