基本信息:
中文名稱 N,N''-二(芐氧羰基)-L-胱氨酸
中文別名 N,N''-二芐氧羰基-L-胱氨酸;N,N''-二-Cbz-L-胱氨酸;N,N’-二(芐氧羰基)-L-胱氨酸;
英文名稱 N,N''-Bis(benzyloxycarbonyl)-L-cystine
英文別名 N,N''-dibenzyloxycarbonyl-L-cystine;DI-Z-L-CYSTINE;(Cbz-L-Cys-OH)2;N,N''-bis(benzyloxycarbonyl)cystine;N-CBz-L-cystine;N,N''-Bis-Cbz-L-cystine;(DI-Z-CYS-OH)2;N,N''-DI-CBZ-L-CYSTINE;DI-CBZ-L-CYSTINE;DI-CBZ-L-CYST;(Z-Cys-OH)2;DI-N-CBZ-L-CYSTINE;(CBZ-CYS-OH)2;(R,R)-N,N''-dibenzyloxycarbonyl-3,3''-dithiobis(2-aminopropionic acid);N,N''-bisbenzilossicarbonil-L-cistina;(Z-L-Cys-OH)2;
CAS號 6968-11-2
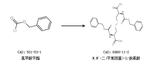
合成路線:
1.通過L-胱氨酸和氯甲酸芐酯合成N,N''-二(芐氧羰基)-L-胱氨酸,收率約98%;

2.通過氯甲酸芐酯合成N,N''-二(芐氧羰基)-L-胱氨酸

中華試劑網提醒:合成路線僅供參考