基本信息:
中文名稱 三(3,6-二氧雜庚基)胺
中文別名 三(3,6-二氧庚基)胺;三(3,6-二氧庚基)胺;三(2-(2-甲氧基乙氧基)乙基)胺;三[2-(2-甲氧乙氧基)乙基]胺;三[2-(2-甲氧基乙氧基)乙基]胺;三-(3,6-二氧雜庚基)胺;
英文名稱 Tris(2-(2-methoxyethoxy)ethyl)amine
英文別名 tris<2-(2-methoxyethoxy)ethyl>amine;tri[2-(2-methoxyethoxy)ethyl]amine;TDA-1;tri(3,6-dioxaheptyl)amine;tris-(3,6-dioxaheptyl)-amine;TDA;Tris[2-(2-methoxyethoxy)ethyl]amine;Tris(3,6-dioxaheptyl)amine TDA-1;Tris(3,6-dioxaheptane-1-yl)amine;Tris(dioxa-3,6-heptyl)amine;
CAS號 70384-51-9
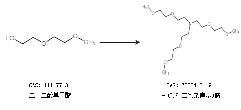
合成路線:
1.通過二乙二醇單甲醚合成三(3,6-二氧雜庚基)胺

2.通過二乙二醇單甲醚合成三(3,6-二氧雜庚基)胺

合成路線僅供參考