基本信息:
中文名稱(chēng) 3-(3-吡啶基)-D-丙氨酸
中文別名 (D)-3-吡啶苯氨酸;H-Β-(3-吡啶)-DL-ALA-OH;D-3-(3-吡啶基)-丙氨酸;
英文名稱(chēng) 3-(3-Pyridyl)-D-alanine
英文別名 D-3-PYRIDYLALANINE;3-(3-Pyridyl)-D-alan;2-amino-3-[3]pyridyl-propionic acid;H-D-3PAL-OH 2HCL;2-amino-3-(pyridin-3-yl)propanoic acid;dl-3-pyridylalanine;3''-PYRIDYL-D-ALA;H-D-3PAL-OH HCL;2-amino-3-pyridin-3-yl-propionic acid;3-(3-pyridyl)alanine;H-D-ALA(3-PYRI)-OH;3-(pyridin-3-yl)alanine;H-3-D-Pal-OH.2HCl;RARECHEM AK ML 0090;D-3-Pal-OH;H-D-Ala(3-pyridyl)-OH.HCl;2-Amino-3-[3]pyridyl-propionsaeure;H-D-ALA(3-PYRIDYL)-OH;H-D-3-Pal-OH;
CAS號(hào) 70702-47-5
合成路線:
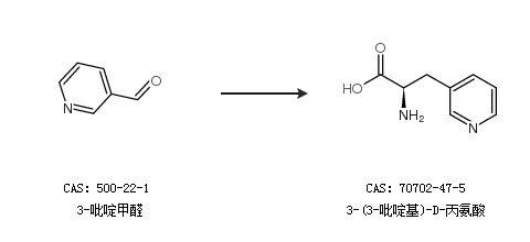
1.通過(guò)3-吡啶甲醛合成3-(3-吡啶基)-D-丙氨酸

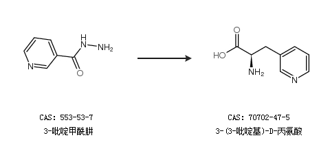
2.通過(guò)3-吡啶甲酰肼合成3-(3-吡啶基)-D-丙氨酸

中華試劑網(wǎng)提醒 合成路線僅供參考