基本信息:
中文名稱 (S)-(-)-β-香茅醇
中文別名 左旋香草醇;左旋香茅醇;(-)-β-香茅醇;(-)-3,7-二甲基辛-6-烯-1-醇;S-(-)-β-香茅醇;β-Rhodinol;(-)-b-香茅醇;(-)-beta-香茅醇;
英文名稱 (S)-(-)-citronellol
英文別名 (3S)-3,7-dimethyloct-6-en-1-ol;(S)-(-)-3,7-Dimethyl-6-Octen-1-ol;
CAS號(hào) 7540-51-4
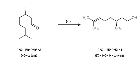
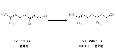
合成路線:
1.通過(guò)(-)-香茅醛合成(S)-(-)-β-香茅醇,收率約94%;

2.通過(guò)香葉醇合成(S)-(-)-β-香茅醇

中華試劑網(wǎng)提醒 合成路線僅供參考