基本信息:
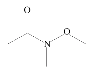
中文名稱 N-甲氧基-N-甲基乙酰胺
中文別名 N-甲基-甲氧基乙酰胺;N-甲基-N-甲氧基乙酰胺;
英文名稱 N-Methoxy-N-methylacetamide
英文別名 methyl Weinreb amide;n-methoxy-n-methylacetamid;methyl N-methylacetoxyhydroxamate;N,O-dimethylacetohydroxamic acid;N-Methoxy-N-methyl-acetamide;N-Methyl-N-methoxyacetamide;
CAS號 78191-00-1
合成路線:
1.通過二甲羥胺鹽酸鹽和乙酰氯合成N-甲氧基-N-甲基乙酰胺,收率約98%;

2.通過乙烯基氯化鎂合成N-甲氧基-N-甲基乙酰胺

合成路線僅供參考