基本信息:
中文名稱 對羥基苯乙酮
中文別名 4-羥基苯乙酮;4-乙酰苯酚;P-羥基苯乙酮;4''-羥基苯乙酮;4-羥基乙酰苯;對乙酰苯酚;
英文名稱 4''-hydroxyacetophenone
英文別名 4''-Hydroxyacetophenone;1-(4-hydroxyphenyl)ethanone;
CAS號 99-93-4
合成路線:
1.通過4-乙?;脚鹚岷铣蓪αu基苯乙酮,收率約97%;

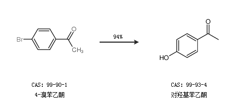
2.通過4-溴苯乙酮合成對羥基苯乙酮,收率約94%;

中華試劑網(wǎng)提醒:合成路線僅供參考