基本信息:
中文名稱 1-氯-3,5-二甲基金剛烷
中文別名 5-氯-1,3-二甲基金剛烷;
英文名稱 1-Chloro-3,5-dimethyladamantane
英文別名 1,3-Dimethyl-5-chloradamantan;1,3-Dimethyl-5-chloroadamantane;5-Chloro-1,3-dimethyladamantane;5-Chlor-1.3-dimethyladamantan;1-chloro-3,5-dimethyl-adamantane;
CAS號 707-36-8
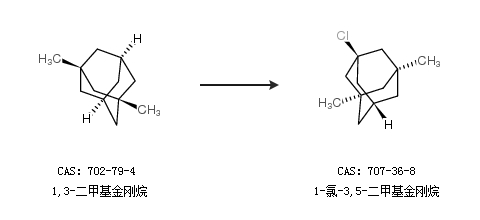
合成路線:
1.通過3,5-二甲基-1-金剛烷醇合成1-氯-3,5-二甲基金剛烷,收率約82%;

2.通過1,3-二甲基金剛烷合成1-氯-3,5-二甲基金剛烷

合成路線僅供參考