基本信息:
中文名稱 1,10-鄰二氮雜菲-2,9-二甲酸
中文別名 2,9-二羧基-1,10-菲啰啉;
英文名稱 1,10-Phenanthroline-2,9-dicarboxylic acid hydrate
英文別名 1,10-PHENANTHROLINE-2,9-DICARBOXYLIC ACID;
CAS號(hào) 57709-61-2
合成路線:
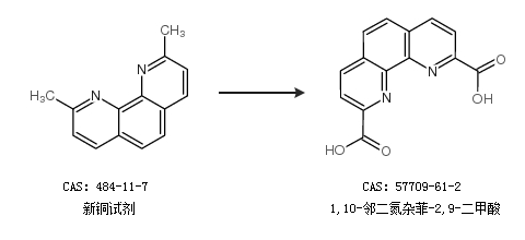
1.通過(guò)新銅試劑合成1,10-鄰二氮雜菲-2,9-二甲酸

2.通過(guò)1,10-菲啰啉-2,9-二甲醛合成1,10-鄰二氮雜菲-2,9-二甲酸,收率約93%;

中華試劑網(wǎng)提醒 合成路線僅供參考