基本信息:
中文名稱 Cbz-D-叔亮氨酸
中文別名 3-甲基-N-[(苯基甲氧基)羰基]-D-纈氨酸;
英文名稱 (2R)-3,3-dimethyl-2-(phenylmethoxycarbonylamino)butanoic acid
英文別名 N-Benzyloxycarbonyl-D-t-Leucin;Cbz-D-tert-leucine;(R)-2-benzyloxycarbonylamino-3,3-dimethyl-butyric acid;(R)-2-(((Benzyloxy)carbonyl)amino)-3,3-dimethylbutanoic acid;(R)-2-Benzyloxycarbonylamino-3,3-dimethyl-buttersaeure;Z-D-tert-leucine;
CAS號(hào) 70874-05-4
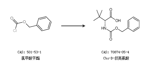
合成路線:
1.通過氯甲酸芐酯合成Cbz-D-叔亮氨酸

中華試劑網(wǎng)提醒:合成路線僅供參考