基本信息:
中文名稱 2-甲氧基-4-硝基苯異氰酸酯
中文別名 2-甲氧基-4-硝基異氰酸苯酯;
英文名稱 1-isocyanato-2-methoxy-4-nitrobenzene
英文別名 2-Methoxy-4-nitro-phenylisocyanat;2-isocyanato-5-nitrophenyl methyl ether;2-Methoxy-4-nitrophenyl isocyanate;
CAS號 33484-67-2
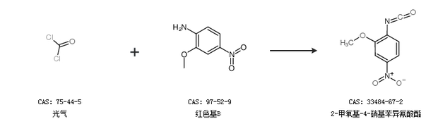
合成路線:
1.通過光氣和紅色基B合成2-甲氧基-4-硝基苯異氰酸酯

合成路線僅供參考