基本信息:
中文名稱 3,4-二氯苯乙基異氰酸酯
中文別名 3,4-異氰酸二氯苯乙酯;
英文名稱 1,2-dichloro-4-(2-isocyanatoethyl)benzene
英文別名 1-isocyano-2-(3,4-dichlorophenyl)ethane;3,4-Dichlorophenethyl isocyanate;
CAS號 115706-18-8
合成路線:
1.通過3,4-二氯苯乙胺和氯甲酸三氯甲酯合成3,4-二氯苯乙基異氰酸酯

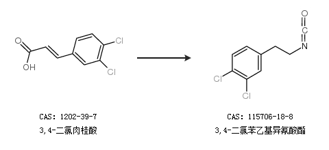
2.通過3,4-二氯肉桂酸合成3,4-二氯苯乙基異氰酸酯

合成路線僅供參考