基本信息:
中文名稱 SB 203580
中文別名 4-[5-(4-氟苯基)-2-[4-(甲基磺?;?苯基]-1H-咪唑-4-基]-吡啶;4-(4-氟苯基)-2-(4-甲基亞磺?;交?-5-(4-吡啶基)-1H-咪唑;
英文名稱 4-[4-(4-fluorophenyl)-2-(4-methylsulfinylphenyl)-1H-imidazol-5-yl]pyridine
英文別名 4-(4-Fluorophenyl)-2-(4-methylsulfinylphenyl)-5-(4-pyridyl)-1H-imidazole;4-(4-Fluorophenyl)-2-(4-methylsulfinylphenyl)-5-(4-pyridyl)1H-imidazole;RWJ 64809;4-(4-Fluorophenyl)-2-(4-methylsulfinylphenyl)-5-(pyridin-4-yl)-1H-imidazole;PB 203580;Pyridine,4-(5-(4-fluorophenyl)-2-(4-(methylsulfinyl)phenyl)-1H-imidazol-4-yl);4-(4-Fluorophenyl)-2-(4-methylsulfinylphenyl)-5-(pyridin-4-yl)imidazole;4-(4-(4-Fluorophenyl)-2-(4-(methylsulfinyl)phenyl)-1H-imidazol-5-yl)pyridine;4-(4-(4-fluorophenyl)-2-(4-(methylsulfinyl)phenyl)-1H-imidazol-5-yl)pyridine;
CAS號 152121-47-6
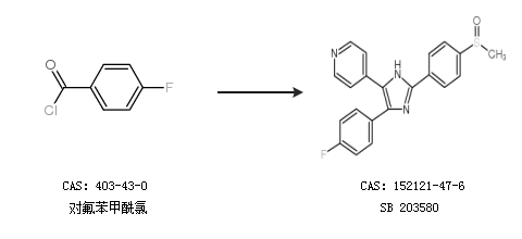
合成路線:
1.通過4-吡啶甲醇合成SB 203580

2.通過對氟苯甲酰氯合成SB 203580

合成路線僅供參考