基本信息:
中文名稱 5,7-二氯吡唑并[1,5-a]嘧啶
中文別名 5,7二氯嘧啶并吡唑;5,7-二氯吡唑并[1,5-A]嘧啶;
英文名稱 5,7-Dichloropyrazolo[1,5-a]pyrimidine
英文別名 5,7-DICHLOROPYRAZOLO[1,5-A]PYRIMIDINE;
CAS號(hào) 57489-77-7
合成路線:
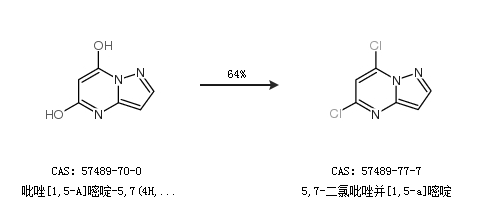
1.通過(guò)吡唑[1,5-A]嘧啶-5,7(4H,6H)-二酮合成5,7-二氯吡唑并[1,5-a]嘧啶,收率約64%;

中華試劑網(wǎng)提醒:合成路線僅供參考