基本信息:
中文名稱 2,2''-O-脫水-5-甲基尿嘧啶核苷
中文別名 2,2''-脫水-(1-β-D-呋喃阿拉伯糖基)-5-甲基尿嘧啶;2,2''-脫水-5-甲基尿苷;2,2’-脫水-5-甲基尿苷;
英文名稱 2,2''-Anhydro-5-methyluridine
英文別名 2,2''-O-Anhydro-(1-β-D-arabinofuranosyl)-5-methyluracil;Uridine,2,2''-cyclo-5-methyl;L-2,2''-AnhydrothyMidine;2,2''-Anhydrothimidine;2,2''-Anhydro-D-thymidine;2,2''-(1,3-PHENYLENE)BIS-1H-BENZIMIDAZOLE-5-CARBOXYLIC ACID;2,2''-Anhydro-5-Me-U;2,2''-ANHYDROTHYMIDINE;2,2′-O-Anhydro-5-methyluridine;2,2''-O-Anhydro-5-methyluridine;2,2''-cyclo-5-methyluridine;O-2,2''-anhydro-5-methyluridine;2,2`-CyclothyMidine;
CAS號(hào) 22423-26-3
合成路線:
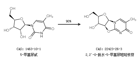
1.通過(guò)5-甲基尿甙合成2,2''-O-脫水-5-甲基尿嘧啶核苷,收率約90%;

2.通過(guò)碳酸二苯酯和5-甲基尿甙合成2,2''-O-脫水-5-甲基尿嘧啶核苷,收率約84%;

中華試劑網(wǎng)提醒 合成路線僅供參考